|
Measured by its ability to inhibit IL15-dependent proliferation of MO7e human megakaryocytic leukemic cells in the presence of 4.0 ng/mL of recombinant human IL-15. The ED50 for this effect is 1-6ug/ml |
![]() |
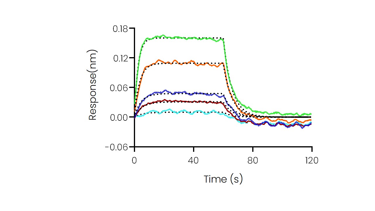
Loaded Recombinant Human IL-2R beta/CD122 Protein, His Tag (Cat. No. 10696-H08B) on His1K Biosensor, can bind Recombinant Human IL-2 Protein, no Tag (Cat. No. 11848-HNAE2) with an affinity constant of 0.76 μM as determined in BLI assay (Sartorius Octet RED384) (QC tested). |
Neuroinflammation

AKT Signaling Pathway

Jak-Stat Signaling Pathway

Autophagy Pathway

Foss F., et al., 2006, Semin Oncol. 33(1 Suppl 3): 11-6.
Sprent J, et al., 2001, Science. 293(5528): 245-8.
Teshigawara K, et al. , 1987, J Exp Med. 165(1): 223-38.



