|
Measured in a cell proliferation assay using CTLL2. The ED50 for this effect is typically 1-8 ng/mL. |
![]() |
Loaded Recombinant Rhesus IL-2R beta/CD122 Protein, His & AVI Tag, Biotinylated (Cat. No. 90328-K49H-B) on SA Biosensor, can bind Recombinant Human IL-2 Protein, no Tag (Cat. No. 11848-HNAE2) with an affinity constant of 0.508 μM as determined in BLI assay (Sartorius Octet RED384) (Routinely tested). |
Loaded Recombinant Human IL-2R beta / CD122 Protein, His Tag (Cat. No. 10696-H08H) on Ni-NTA Biosensor, can bind Recombinant Human IL-2 Protein (Cat. No. 11848-HNAE2) with an affinity constant of 0.313 μM as determined in BLI assay (Sartorius Octet RED384) (Routinely tested). |
Loaded Recombinant Human IL-2R beta/CD122 Protein, His Tag, Biotinylated, (Cat. No. 10696-H27H-B) on SA Biosensor, can bind Recombinant Human IL-2 Protein (Cat. No. 11848-HNAE2) with an affinity constant of 0.234 μM as determined in BLI assay (Sartorius Octet RED384) (QC tested). |
Recombinant Human IL-2R beta/CD122 Protein, mFc Tag (Cat. No. 10696-H05H) captured on CM5 chip via anti-mouse antibodies surface can bind Recombinant Human IL-2 Protein (Cat. No. 11848-HNAE2) with an affinity constant of 0.460 µM as determined in an SPR assay (Biacore T200) (Routinely tested). |
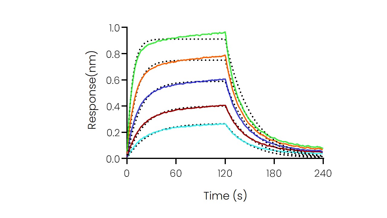
Loaded Biotinylated Recombinant Human IL-2Rβ & IL-2Rγ Protein, Flag & AVI & His Tag (Cat. No. CT108-H2549H1-B) on SA Biosensor, can bind Recombinant Human IL-2 Protein (Cat. No. 11848-HNAE2) with an affinity constant of 2.190 nM as determined in BLI assay (Sartorius Octet RED384) (Routinely tested). |
Neuroinflammation

Smith KA, et al.,1980, J. Exp. Med.151 (6): 1551-6.
Smith KA, et al.,1980, Nature. 287 (5785): 853-5.
Taniguchi T, et al.,1983, Nature. 302 (5906): 305.
Cantrell DA, et al.,1984, Science. 224 (4655): 1312-6.
Smith KA, et al.,1988, Science. 240 (4856): 1169-76.
Wang X. et al., 2005, Science 310:1159-63.
Stauber D.J. et al., 2006, Proc. Natl. Acad. Sci. USA. 103: 2788-93.







